- Mengetahui dan memahami sensor LDR
- Mengetahui prinsip kerja sensor LDR
- Mengaplikasikan sensor LDR pada penggunaan lampu otomatis
2.2 Bahan [Kembali]
Relay berfungsi sebagai switch yang bekerja jika kumparan dialiri arus.
Fitur :
1. Tegangan pemicu (tegangan kumparan) 5 V
2. Arus pemicu 70 mA
3. Maksimum beban AC 10 A
4. Maksimum beban DC 10 A
5. Switching maksimum 300 operasi/menit
Datasheet relay
e. Potensiometer
Potensiometer berperan sebagai resistor variabel atau Rheostat.
Bagian-bagian penting dalam komponen potensiometer :
1. Penyapu atau disebut juga dengan Wiper
2. Element Resistif
3. Terminal
f. Sensor LDR
Datasheet LDR
LED berfungsi sebagai lampu indikator.
Simbol LED
Dari simbol LED diatas dapat diketahui bahwa LED memiliki dua kaki atau kutub yang berbeda, masing-masing adalah katoda dan anoda. Pemasangan LED pada rangkaian juga tidak boleh terbalik, karena apabila dipasang terbalik maka LED tidak akan dapat memancarkan cahaya dan tidak dapat dialiri tegangan listrik.
a. Sensor LDR
LDR (Light Dependent Resistor) merupakan salah satu komponen resistor yang nilai resistansinya akan berubah-ubah sesuai dengan intensitas cahaya yang mengenai sensor ini. LDR juga dapat digunakan sebagai sensor cahaya. Perlu diketahui bahwa nilai resistansi dari sensor ini sangat bergantung pada intensitas cahaya. Semakin banyak cahaya yang mengenainya, maka akan semakin menurun nilai resistansinya. Sebaliknya jika semakin sedikit cahaya yang mengenai sensor (gelap), maka nilai hambatannya akan menjadi semakin besar sehingga arus listrik yang mengalir akan terhambat.
Adapun spesifikasi atau karakteristrik umum dari sensor cahaya LDR adalah sebagai berikut :
- Tegangan maksimum (DC): 150V
- Konsumsi arus maksimum: 100mW
- Tingkatan Resistansi/Tahanan : 10Ω sampai 100KΩ
- Puncak spektral: 540nm (ukuran gelombang cahaya)
- Waktu Respon Sensor : 20ms – 30ms
- Suhu operasi: -30° Celsius – 70° Celcius
Resistor adalah komponen Elektronika Pasif yang memiliki nilai resistansi atau hambatan tertentu yang berfungsi untuk membatasi dan mengatur arus listrik dalam suatu rangkaian elektronika.
Cara menghitung nilai resistansi resistor dengan gelang warna :
1. Masukan angka langsung dari kode warna gelang pertama.
2. Masukan angka langsung dari kode warna gelang kedua.
3. Masukan angka langsung dari kode warna gelang ketiga.
4. Masukkan jumlah nol dari kode warna gelang ke-4 atau pangkatkan angka tersebut dengan 10 (10^n), ini merupakan nilai toleransi dari resistor.
Op-Amp adalah salah satu dari bentuk IC Linear yang berfungsi sebagai Penguat Sinyal listrik. Sebuah Op-Amp terdiri dari beberapa Transistor, Dioda, Resistor dan Kapasitor yang terinterkoneksi dan terintegrasi sehingga memungkinkannya untuk menghasilkan Gain (penguatan) yang tinggi pada rentang frekuensi yang luas.
Simbol
Karakteristik IC OpAmp
· Penguatan Tegangan Open-loop atau Av = ∞ (tak terhingga)
· Tegangan Offset Keluaran (Output Offset Voltage) atau Voo = 0 (nol)
· Impedansi Masukan (Input Impedance) atau Zin= ∞ (tak terhingga)
· Impedansi Output (Output Impedance ) atau Zout = 0 (nol)
· Lebar Pita (Bandwidth) atau BW = ∞ (tak terhingga)
· Karakteristik tidak berubah dengan suhu
Inverting Amplifier
Rumus
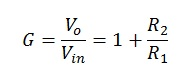
NonInverting
Rumus
KomparatorRumus
Adder
Rumus
Bentuk Gelombang
d. Transistor
Transistor merupakan alat semikonduktor yang dapat digunakan sebagai penguat sinyal, pemutus atau penyambung sinyal, stabilisasi tegangan, dan fungsi lainnya. Transistor memiliki 3 kaki elektroda, yaitu basis, kolektor, dan emitor. Pada rangkaian kali ini digunakan transistor 2SC1162 bertipe NPN. Transistor ini diperumpamakan sebagai saklar, yaitu ketika kaki basis diberi arus, maka arus pada kolektor akan mengalir ke emiter yang disebut dengan kondisi ON. Sedangkan ketika kaki basis tidak diberi arus, maka tidak ada arus mengalir dari kolektor ke emitor yang disebut dengan kondisi OFF. Namun, jika arus yang diberikan pada kaki basis melebihi arus pada kaki kolektor atau arus pada kaki kolektor adalah nol (karena tegangan kaki kolektor sekitar 0,2 - 0,3 V), maka transistor akan mengalami cutoff (saklar tertutup).
Transistor adalah sebuah komponen di dalam elektronika yang diciptakan dari bahan-bahan semikonduktor dan memiliki tiga buah kaki. Masing-masing kaki disebut sebagai basis, kolektor, dan emitor.
Emitor (E) memiliki fungsi untuk menghasilkan elektron atau muatan negatif.
Kolektor (C) berperan sebagai saluran bagi muatan negatif untuk keluar dari dalam transistor.
Basis (B) berguna untuk mengatur arah gerak muatan negatif yang keluar dari transistor melalui kolektor.
Datasheet transistor
Relay merupakan komponen elektronika berupa saklar atau swirch elektrik yang dioperasikan secara listrik dan terdiri dari 2 bagian utama yaitu Elektromagnet (coil) dan mekanikal (seperangkat kontak Saklar/Switch). Komponen elektronika ini menggunakan prinsip elektromagnetik untuk menggerakan saklar sehingga dengan arus listrik yang kecil (low power) dapat menghantarkan listrik yang bertegangan lebih tinggi. Berikut adalah simbol dari komponen relay.
Pada dasarnya, Relay terdiri dari 4 komponen dasar yaitu :
1. Electromagnet (Coil)
2. Armature
3. Switch Contact Point (Saklar)
4. Spring
Gambar dari bagian-bagian relay
Kontak Poin (Contact Point) Relay terdiri dari 2 jenis yaitu :
- Normally Close (NC) yaitu kondisi awal sebelum diaktifkan akan selalu berada di posisi CLOSE (tertutup)
- Normally Open (NO) yaitu kondisi awal sebelum diaktifkan akan selalu berada di posisi OPEN (terbuka)
f. Lampu
Lampu Listrik adalah suatu perangkat yang dapat menghasilkan cahaya saat dialiri arus listrik. Arus listrik yang dimaksud ini dapat berasal tenaga listrik yang dihasilkan oleh pembangkit listrik terpusat (Centrally Generated Electric Power) seperti PLN dan Genset ataupun tenaga listrik yang dihasilkan oleh Baterai dan Aki.
Jenis Jenis Lampu Listrik
1. Lampu Pijar (Incandescent Lamp)
Lampu Pijar atau disebut juga Incandescent Lamp adalah jenis lampu listrik yang menghasilkan cahaya dengan cara memanaskan Kawat Filamen di dalam bola kaca yang diisi dengan gas tertentu seperti nitrogen, argon, kripton atau hidrogen. Kita dapat menemukan Lampu Pijar dalam berbagai pilihan Tegangan listrik yaitu Tegangan listrik yang berkisar dari 1,5V hingga 300V.
Lampu Pijar yang dapat bekerja pada Arus DC maupun Arus AC ini banyak digunakan di Lampu Penerang Jalan, Lampu Rumah dan Kantor, Lampu Mobil, Lampu Flash dan juga Lampu Dekorasi. Pada umumnya Lampu Pijar hanya dapat bertahan sekitar 1000 jam dan memerlukan Energi listrik yang lebih banyak dibandingkan dengan jenis-jenis lampu lainnya.
2. Lampu Lucutan Gas (Gas discharge Lamp)
Lampu lucutan gas menghasilkan cahaya dengan mengirimkan lucutan elektris melalui gas yang terionisasi, misalnya pada plasma. Sifat lucutan gas sangat tergantung pada frekuensi atau modulasi arus listriknya. Biasanya, lampu lampu ini menggunakan gas mulia (argon, neon, kripton, dan xenon) atau campuran dari gas-gas tersebut. Sebagian besar lampu-lampu ini juga mengandung bahan-bahan tambahan, seperti merkuri, natrium, dan/atau halida logam.
3. Lampu LED (Light Emitting Diode)
Lampu LED adalah komponen elektronika yang dapat memancarkan cahaya monokromatik ketika diberikan tegangan maju. LED merupakan keluarga Dioda yang terbuat dari bahan semikonduktor. Warna warna Cahaya yang dipancarkan oleh LED tergantung pada jenis bahan semikonduktor yang dipergunakannya. LED juga dapat memancarkan sinar inframerah yang tidak tampak oleh mata seperti yang sering kita jumpai pada Remote Control TV ataupun Remote Control perangkat elektronik lainnya.
5. Download File [Kembali]
Download Rangkaian Proteus klik disini
Download Video klik disini
Download Datasheet LDR klik disini
Download Datasheet Relay klik disini
Download Datasheet LED klik disini
Download Datasheet Transistor klik disini
Download Datasheet Op- Amp klik disini
Download Datasheet Resistor klik disini
Download Datasheet Lampu klik disini
Download HTML klik disini



























Tidak ada komentar:
Posting Komentar