4.3. Fixed-Bias Circuit [Kembali]
Gambar rangkaian untuk soal nomor 1-2.
1)
Tentukan nilai IBQ dan ICQ dari rangkaian diatas berturut-turut adalah ...
A. 47.08 µA dan 2.35 mA
B. 2.35 µA dan 47.08 mA
C. 46.88 A dan 2.00 mA
D. 47.08 A dan 2.35 µA
E. 47.00 µA dan 3.19 mA
Jawaban : A
2) Tentukan tingkat saturasi jaringan dari gambar rangkaian diatas....
A. 5.67 mA
B. 6.66 mA
C. 7.89 mA
D. 5.45 mA
E. 4.49 mA
Jawaban : D
3) Tentukan nilai RC dan RB dari gambar berikut, secara brturut-turut adalah....
A. 772 kꭥ dan 2 kꭥ
B. 1.5 kꭥ dan 589 kꭥ
C. 2 kꭥ dan 772 kꭥ
D. 15 kꭥ dan 700 kꭥ
E. 190 kꭥ dan 35 kꭥ
Jawaban : C
Gambar untuk soal nomor 4-6 !
4) Berdasarkan Gambar Rangkaian Diatas ,Tentukan Nilai
dari Ic!
A. 1,99 mA C. 4,99 mA
B. 3,7 mA D. 6,99 mA
Jawaban : A
IE= IC+IB
IC=
IE- IB
IC= 2mA-10 μA
IC= 2mA-0,01mA
IC= 1,99 mA (A)
5) Tentukan nilai VCC!
A.
12,446 V C.
13,346 V
B.
12,346 V D.
14,346 V
Jawaban : D
Vcc-Ic(5,4KΩ)-3,6 V=0
Vcc=Ic (5,4KΩ)+3,6 V
Vcc= (1,99mA)(5,4KΩ)+3,6 V
Vcc= 10,746 V + 3,6 V
Vcc= 14,346 V
6) Tentukan
Nilai β dan Rb!
A.
198 dan 1346,4 KΩ C.
198 dan 1464,6 KΩ
B.
199 dan 1364,6 KΩ D.
199 dan 1446,4 KΩ
Jawab
: B
·
β = Ic/Ib= 1,99mA/10 µA = 199
· Vcc-IbRb-Vbe=0
14,346 V-(10 µA)Rb-0,7 V =0
Rb = (14,346 V – 0,7 V)/10 µA
Rb = 13,646
V/10^-5
Rb = 1364,6 KΩ
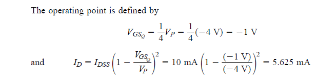
Gambar untuk soal nomor 7-9
7) Berdasarkan Gambar Rangkaian Diatas Tentukanlah
Nilai ID
A. 5,625 mA C.
5,525 mA
B. 6,625 Ma D.
6,525 mA
Jawaban : A
8) Tentukan Nilai gm!
A. 1,75 mS C.
3,75 mS
b. 2,75 mS D.
4,75 Ms
Jawab : C
9) Tentukan Nilai RD !
A. 1,2 KΩ C.
3,2 KΩ
B.
2,2 KΩ D.
4,2 KΩ
Jawab
: B
14.4 Practical Op-Amp[Kembali]
10) Sebuah rangkaian op-amp inverting amplifier mempunyai nilai R1 = 100kꭥ dan Rf =500kꭥ. Berapakah tegangan output yang dihasilkan jika tegangan input Vi=2V ....?
A. 11V
B. 12V
C. 10V
D. 7V
E. -10V
Jawaban : E
11) Berapakah besar tegangan penguat non inverting dari gambar dibawah, jika Vi = 2V ,
Rf =500 kꭥ dan R1=100kꭥ....?
A. -12V
B. +12V
C. +11V
D. -11V
E. +11.5V
Jawaban : E
12) Hitung tegangan output penguat penjumlahan
op-amp untuk rangkaian voltase dan resistor berikut. Gunakan Rf 1Mꭥ dalam semua
kasus.
A.V1= 1v, v2=2v, v3=3v,R1=500Kꭥ,
R2=1Mꭥ, R3=1Mꭥ
B.V1=-2V, V2=3V, V3=1V, R1=200Kꭥ, R2=500Kꭥ,R3=1Mꭥ
A. -7 dan +3
B. -3 dan +7
C. -2 dan +7
D. -7 dan +2
E. -5 dan +6
Jawaban : A
13) Berapakah frequensi pusat dari sebuah VCO yang menggunakan IC 566 seperti gambar dibawah ini. Dimana R1=4.7 kꭥ; R2= 1.8 kꭥ;
R3=11kꭥ; dan C1= 0.001µF; V+ =12
A.126.6 kHz
B.100 kHz
C.127.6 kHz
D. 98.7 kHz
Jawaban: C
14) Hitung lah frequensi
pusat dari sebuah VCO yang menggunkana IC 566 seperti gambar dibawah ini.
Dimana R1=10 kꭥ; R2= 1.5 kꭥ; R3=10kꭥ; dan C1=820pF; V+ =12
A.
32.5 kHz
B.
52.5 kHz
C.
47.0 kHz
D.
27.7 kHz
Jawab : A
15) Persamaan dibawah ini yang merupakan persamaan
untuk mencari nilai frekuensi pusat pada VCO adalah...
A.
LDR
B.
Photo diode
C.
Photo transistor
D.
PIR
Jawaban : D.
17) Bahan fotokonduktif yang sering dugunakan adalah
A.
Kadmium sulfida
B.
Nikel
C.
Tembaga
D.
Perak
18) Berikut prinsip kerja
dari photoconductive yang benar adalah...
A. semakin kecil intensitas cahaya yang
diterima, maka akan semakin kecil pula nilai tahanannya.
B. semakin tinggi intensitas cahaya yang diterima, maka akan
semakin kecil pula nilai tahanannya.
C. semakin tinggi intensitas cahaya yang diterima, maka akan
semakin besar pula nilai tahanannya.
D. semakin kecil intensitas cahaya yang diterima, maka akan
semakin besar pula nilai tahanannya.
Jawaban : B





Tidak ada komentar:
Posting Komentar