- Memahami dan mengetahui sensor optocoupler dan sensor LM35
- Memahami prinsip kerja sensor optocoupler dan sensor LM35
- Mengaplikasikan sensor optocoupler dan sensor LM35 sebagai kontrol kecepatan motor
1.
2.
3.
4.
5.
6.
7. Pin8 (NC) : Tidak ada koneksi
Spesifikasi-Spesifikasi Op Amp :
1. Tegangan offset input. Dalam banyak kasus, tegangan output op amp tidak boleh nol ketika tegangan pada input adalah nol. Tegangan yang harus diterapkan dalam terminal input untuk menggerakkan output ke nol adalah tegangan offset input.
2. Arus offset input. Seperti tegangan offset bisa diperlukan melalui input untuk men-zero-kan tegangan output, sehingga arus jala bisa diperlukan melalui input untuk men-zero-kan tegangan output. Arus yang demikian dijadikan acuan sebagai arus offset input. Ini diambil sebagai perbedaan dua arus input.
3. Arus bias input. Ini adalah rata-rata dari dua arus input yang diperlukan untuk menggerakkan tegangan output ke nol.
4. Slew rate. Jika tegangan diterapkan dengan cepat ke input dari op amp, output akan saturasi ke maksimum. Untuk input step slew rate adalah kecepatan dimana output berubah ke nilai saturasi. Ini khususnya dinyatakan sebagai tegangan per mikrosecond (V/ms).
5. Bandwith frekuensi gain satuan. Respons frekuensi dari op amp khusus disefinisikan dengan bode plot dari gain tegangan open loop dengan frekuensi. Plot seperti ini sangat penting untuk rancangan rangkaian yang berhubungan dengan sinyal a-c. Adalah diluar jangkauan dari tulisan ini untuk menjelaskan detail dari desain seperti ini yang memakai bode plot.
Spesifikasi :
10k ohm (3 buah)
220 ohm (1 buah)
Klasifikasi resistor :
a. Fixed Resistor (Nilai resistansi yang tetap)
1.Carbon Composition Resistor (Resistor Komposisi Karbon) : nilai resistansinya berkisar dari 1Ω sampai 200MΩ dengan daya 1/10W sampai 2W.
2. Carbon Film Resistor (Resistor Film Karbon) : nilai resistansinya berkisar dari 1Ω sampai 10MΩ dengan daya 1/6W sampai 5W. Dapat bekerja di suhu yang berkisar dari -55°C hingga 155°C.
3. Metal Film Resistor (Resistor Film Logam) : nilai resistansinya dipengaruhi oleh panjang, lebar dan ketebalan spiral logam.
b. Variable Resistor (Nilai resistansinya dapat berubah dan diatur)
1. Potensiometer : nilai resistansinya tertulis di badan Potensiometer dalam bentuk kode angka.
2. Rheostat : dapat beroperasi pada tegangan dan arus yang tinggi
3. Preset Resistor (Trimpot) : berfungsi seperti Potensiometer tetapi memiliki ukuran yang lebih kecil dan tidak memiliki Tuas.
c. Thermistor/Thermal Resistor (Nilai resistansinya dapat dipengaruhi oleh suhu)
1. Thermistor NTC (Negative Temperature Coefficient) : perubahan suhu berbanding terbalik terhadap perubahan resistansi.
2. Thermistor PTC (Positive Temperature Coefficient) :
d. LDR/Light Dependent Resistor (Nilai resistansinya dipengaruhi oleh intensitas cahaya)
Datasheet resistor
Bagian-bagian penting dalam komponen potensiometer :
1. Penyapu atau disebut juga dengan Wiper
2. Element Resistif
3. Terminal
e. Mosfet
MOSFET memiliki empat gerbang terminal :
1. Source (S)
2. Gate (G)
3. Drain (D)
4. Body (B).
f. Relay
Relay berfungsi sebagai switch yang bekerja jika kumparan dialiri arus.
Fitur :
1. Tegangan pemicu (tegangan kumparan) 5 V
2. Arus pemicu 70 mA
3. Maksimum beban AC 10 A
4. Maksimum beban DC 10 A
5. Switching maksimum 300 operasi/menit
Datasheet relay
Resistor adalah komponen Elektronika Pasif yang memiliki nilai resistansi atau hambatan tertentu yang berfungsi untuk membatasi dan mengatur arus listrik dalam suatu rangkaian elektronika.
Cara menghitung nilai resistansi resistor dengan gelang warna :
1. Masukan angka langsung dari kode warna gelang pertama.
2. Masukan angka langsung dari kode warna gelang kedua.
3. Masukan angka langsung dari kode warna gelang ketiga.
4. Masukkan jumlah nol dari kode warna gelang ke-4 atau pangkatkan angka tersebut dengan 10 (10^n), ini merupakan nilai toleransi dari resistor.
Op-Amp adalah salah satu dari bentuk IC Linear yang berfungsi sebagai Penguat Sinyal listrik. Sebuah Op-Amp terdiri dari beberapa Transistor, Dioda, Resistor dan Kapasitor yang terinterkoneksi dan terintegrasi sehingga memungkinkannya untuk menghasilkan Gain (penguatan) yang tinggi pada rentang frekuensi yang luas.
Simbol
Karakteristik IC OpAmp
· Penguatan Tegangan Open-loop atau Av = ∞ (tak terhingga)
· Tegangan Offset Keluaran (Output Offset Voltage) atau Voo = 0 (nol)
· Impedansi Masukan (Input Impedance) atau Zin= ∞ (tak terhingga)
· Impedansi Output (Output Impedance ) atau Zout = 0 (nol)
· Lebar Pita (Bandwidth) atau BW = ∞ (tak terhingga)
· Karakteristik tidak berubah dengan suhu
Inverting Amplifier
Rumus
Transistor adalah sebuah komponen di dalam elektronika yang diciptakan dari bahan-bahan semikonduktor dan memiliki tiga buah kaki. Masing-masing kaki disebut sebagai basis, kolektor, dan emitor.
Emitor (E) memiliki fungsi untuk menghasilkan elektron atau muatan negatif.
Kolektor (C) berperan sebagai saluran bagi muatan negatif untuk keluar dari dalam transistor.
Basis (B) berguna untuk mengatur arah gerak muatan negatif yang keluar dari transistor melalui kolektor.
Datasheet transistor
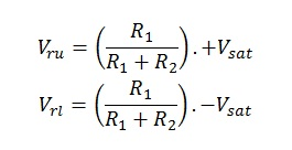
Rumus
f. Relay
Relay merupakan komponen elektronika berupa saklar atau swirch elektrik yang dioperasikan secara listrik dan terdiri dari 2 bagian utama yaitu Elektromagnet (coil) dan mekanikal (seperangkat kontak Saklar/Switch). Komponen elektronika ini menggunakan prinsip elektromagnetik untuk menggerakan saklar sehingga dengan arus listrik yang kecil (low power) dapat menghantarkan listrik yang bertegangan lebih tinggi. Berikut adalah simbol dari komponen relay.
Pada dasarnya, Relay terdiri dari 4 komponen dasar yaitu :
1. Electromagnet (Coil)
2. Armature
3. Switch Contact Point (Saklar)
4. Spring
Gambar dari bagian-bagian relay
Kontak Poin (Contact Point) Relay terdiri dari 2 jenis yaitu :
- Normally Close (NC) yaitu kondisi awal sebelum diaktifkan akan selalu berada di posisi CLOSE (tertutup)
- Normally Open (NO) yaitu kondisi awal sebelum diaktifkan akan selalu berada di posisi OPEN (terbuka)
g. LED
LED merupakan sebuah komponen yang menghasilkan cahaya monokromatik ketika diberi tegangan. LED terbuat dari semikonduktor dan perbedaan warna yang dihasilkan disebabkan perbedaan bahan semikonduktor yang digunakan.
LED merupakan keluarga dari Dioda yang terbuat dari Semikonduktor. Cara kerjanya pun hampir sama dengan Dioda yang memiliki dua kutub yaitu kutub Positif (P) dan Kutub Negatif (N). LED hanya akan memancarkan cahaya apabila dialiri tegangan maju (bias forward) dari Anoda menuju ke Katoda.
LED terdiri dari sebuah chip semikonduktor yang di doping sehingga menciptakan junction P dan N. Yang dimaksud dengan proses doping dalam semikonduktor adalah proses untuk menambahkan ketidakmurnian (impurity) pada semikonduktor yang murni sehingga menghasilkan karakteristik kelistrikan yang diinginkan. Ketika LED dialiri tegangan maju atau bias forward yaitu dari Anoda (P) menuju ke Katoda (K), Kelebihan Elektron pada N-Type material akan berpindah ke wilayah yang kelebihan Hole (lubang) yaitu wilayah yang bermuatan positif (P-Type material). Saat Elektron berjumpa dengan Hole akan melepaskan photon dan memancarkan cahaya monokromatik (satu warna).
- Buka aplikasi proteus
- Siapkan alat dan bahan pada library proteus, yang dibutuhkan pada rangkaian ini yaitu resistor, led, motor dc, op-amp, transistor, buzzer, voltmeter, relay, sensor lm35, sensor optocoupler dan lain-lain
- Rangkai setiap komponen
- Ubah spesifikasi setiap komponen sesuai kebutuhan
- Simulasikan rangkaian dengan mengatur suhu dibawah 32 derajat celcius hingga buzzer berbunyi dan motor dc bergerak



































Tidak ada komentar:
Posting Komentar